Drying experiments are performed one various types of material,
e.g.,
fired-clay brick, mortar, sand-lime brick, concrete and gypsum. In the
inset of figure 1 the experimental set-up is given. Using a control
unit
an air-flow can be generated from 0 to 100 l/min and a relative
humidity
from 0 to 98 % over the samples. Drying experiments last in general
from
12 hours to 4 days.
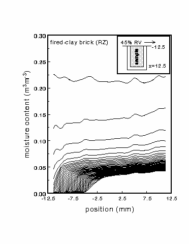
In figure 1 and 2 as an example the resulting moisture profiles for
fired-clay brick and sand-lime brick are plotted as measured during
drying
with air of a relative humidity of 45 %. Each drying experiment was
performed
for a period of 40 hours or longer. Inspection of the profiles shows
variations,
which are substantially larger than the experimental noise, and
reproduce
from profile to profile, e.g., for fired-clay brick at a position of 5
mm. These variations reflect the inhomogeneities of the sample. In both
cases a receding drying front is observed after some time. The
evolution
of the moisture profiles, however, is quite different for these two
materials.
For fired-clay brick a drying front is observed after approximaately 7
hours, whereas it takes more than 20 hours for a drying front to
develop
in sand-lime brick. After the drying front has entered the material, a
residual moisture content is observed for sand-lime brick. These
moisture
profiles can be used to determine the moisture diffusivity as a
function
of moisture content (see articles).


L. Pel, A.A.J. Ketelaars, O.C.G. Adan and A.A. van Well, Determination of moisture diffusivity in porous media using scanning neutron radiography, Int. J. Heat Mass Transfer 36, 1261-1267 (1993).
A.A.J. Ketelaars, L. Pel, W.J. Coumans and P.J.A.M. Kerkhof, Drying kinetics; a comparison of diffusion coefficients from moisture concentration profiles and drying curves, Chem. Eng. Sci. 50, 1187-1191 (1995).
L. Pel, Moisture transport in porous building materials, Ph.D. thesis, Eindhoven University of Technology, the Netherlands (1995).
L. Pel, K.Kopinga and H. Brocken, Moisture transport in porous building materials, HERON 41, 95-105 (1996).
L. Pel, H. Brocken and K. Kopinga, Determination of moisture diffusivity in porous media using moisture concentration profiles, Int. J. Heat Mass Transfer. 39, 1273-1280 (1996).