High temperature
correction of NMR signal
(upto 500oC)
If large temperature gradients will be present in the sample as will
take place during fire the NMR signal has to be corrected in order
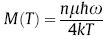
to obtain a quantitative moisture content. In principle the nuclear
magnetization M of a material placed and thereby the NMR signal
depends on the external magnetic field B0 and on the absolute
temperature of the material:
Hence the signal will be inverse
proportional to the absolute temperature.
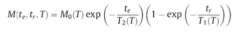
However the magnitude of the measured signal is not only
determined by the nuclear magnetisation, but also by the
relaxation times. Both spin–spin T2 as spin–lattice T1
relaxation are temperature dependent, and can cause a change in
the observed signal.The transverse magnetisation M in a Hahn
spin-echo experiment with a repetition time tr and an echo time
te is given by:
provided that T1>>T2.
In a porous material the relaxation times will be a function
of the poresize. In the case in which there is a fast
exchange in the timescale of the experiment between water
close to the surface and the center of a pore, which is the
so-called fast diffusion regime, the relaxation rate is
given by:
where
ρ is the surface
relaxivity, S/V is the surface to volume ratio of the pore,
and T2,B the bulk relaxation time which can be
neglected because for water T2,B>>T2,S.
The temperature dependent factor in the fast diffusion regime is the
surface relaxivity. Without going into the details of the chemical
composition of the surface, one can describe the temperature
influence on the surface relaxivity by an Arrhenius type equation:
where
ρ2,0 is the
surface relaxivity at a certain reference temperature and E is the
effective surface interaction energy. The effective interaction
energy is a combination of the energies involved in surface
diffusion and surface relaxation, respectively.
The surface relaxivity therefore decreases with temperature.However,
the energy corresponding to the surface interactions is different
for each of the pore systems. So the relaxation times T2,i
all have a different temperature dependence.Therefore, each pore
system which is contributing to the total signal should be corrected
separately. To obtain a quantitative moisture content a temperature
and pore system dependent correction factor is applied:
To illustrate this we have plotted
in Fig. 1a the correction factor as a function of temperature for
concrete. Three different corrections are shown: the correction
for the nuclear magnetisation (solid line),the total correction
including relaxation for the gel pores, and the total correction
for the capillary pores.In case of the gel pores the relaxation
time correction results in a significantly different correction
factor of about half of the initial correction. Note that the
total correction of the gel pores is effectively smaller since the
relaxation time correction for the gel pores is larger than one.
For the capillary pores, this correction at 100 oC
amounts to 1%, which is negligible. As an example the influence of
these corrections is shown in Fig. 1b. Here, the uncorrected
signal profile (solid line), the magnetisation corrected (M,
dash-dotted line), and the total corrected (M + R, dashed line)
are shown. The magnetization correction increases the measured
signal at a position of 40 mm from 1.1 to 1.6. Although the
temperature, and thus correction, is higher close to the surface,
no significant change of the moisture profile upon correction
(correction indicated by bold curve Fig. 1a).
Figure 1: The
first three contributions to the overall temperature correction as
a function of temperature. The temperature correction factor for
the nuclear magnetization (1/T, solid line). The extra
contribution of the surface relaxation for the concrete gel pores
(dashed line). The extra contribution of the capillary pores
(dash-dotted line). (b) Corrections applied to the raw signal
profile in concrete after 42 min (solid line). The signal profile
which is corrected for the temperature dependence of the
magnetization is indicated by M. The moisture profile which is
corrected the temperature dependence of both magnetization and
relaxation is indicated by M + R. The total correction factor is
shown by the bold curve.
An extensive description can be found in:
G.H.A. van der Heijden, L.Pel, H.P. Huinink and K.Kopinga.,
One-dimensional scanning of moisture in heated porous building
materials with NMR, J. of
Magn. Reson208
235-242 (2011)
GHA van der Heijden, NMR imaging of moisture inside heated
porous building materials, Eindhoven University of Technology
(2011). (Download
8 Mb)
A. J. Barakat , L. Pel, O. C. G. Adan,
One‑Dimensional NMR Imaging of high‑Temperature First‑Drying in Monolithics,Appl
Magn Reson49,739-753 (2018)