



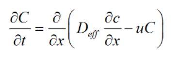
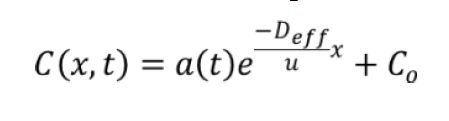
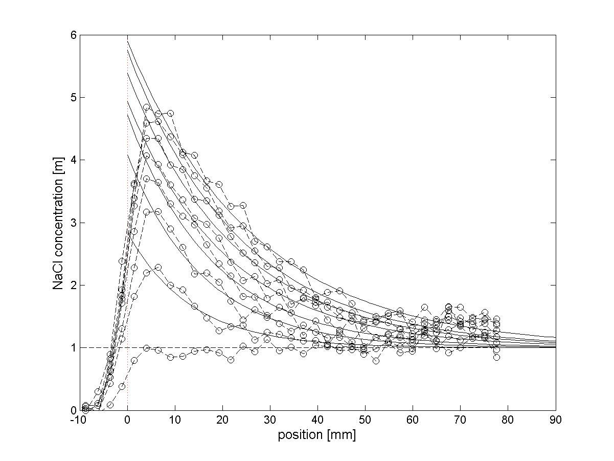
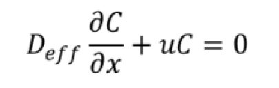
L. Pel , R. Pishkari , M. Casti, A simplified model for the combined wicking and evaporation of a NaCl solution in limestone, Materials and Structures 51-66 (2018) https://doi.org/10.1617/s11527-018-1187-y (This paper got Outstanding paper 2018 Award of Materials and structures)
Leo Pel, Raheleh Pishkari,Wick action in cultural heritage, SWBSS 2017, 4th International Conference on Salt Weathering of Buildings and Stone Sculptures, 20-22 September 2017